近期,围绕低维量子系统中的自旋调控和谷调控及其相关热点、难点问题,成人vr
付吉永教授课题组有3篇论文陆续在物理类主流权威期刊Phys. Rev. B (PRB)发表。相关结果为自旋、谷等新型电子器件(如自旋(谷)场效应管、过滤器件等)的设计和开发提供了新思路、新方法。付吉永教授为论文通讯作者,曲阜师范大学为第一作者单位。
(1)外磁场下由“三子”精细结构调制的谷极化性质(PRB/2021)。

图:激子以及单态、三态带电激子(含亮态和暗态)谷内散射和谷间散射模型图。
针对新型(如自旋-谷锁定)二维材料,计入外加磁场,建立了带电激子(即“三子”)的谷动力学模型,成功解释了当前的实验结果(如X型和V型谷极化磁学响应),指出了“三子”精细结构(包括相关贝里曲率)、朗道能级、反冲效应(Recoil effect)对谷调控的影响,并预言了一些新的实验现象(如谷极化反转等)。硕士研究生麻雅琳和王庆轩为该论文共同第一作者(Doi://doi.org/10.1103/PhysRevB.104.195424)。
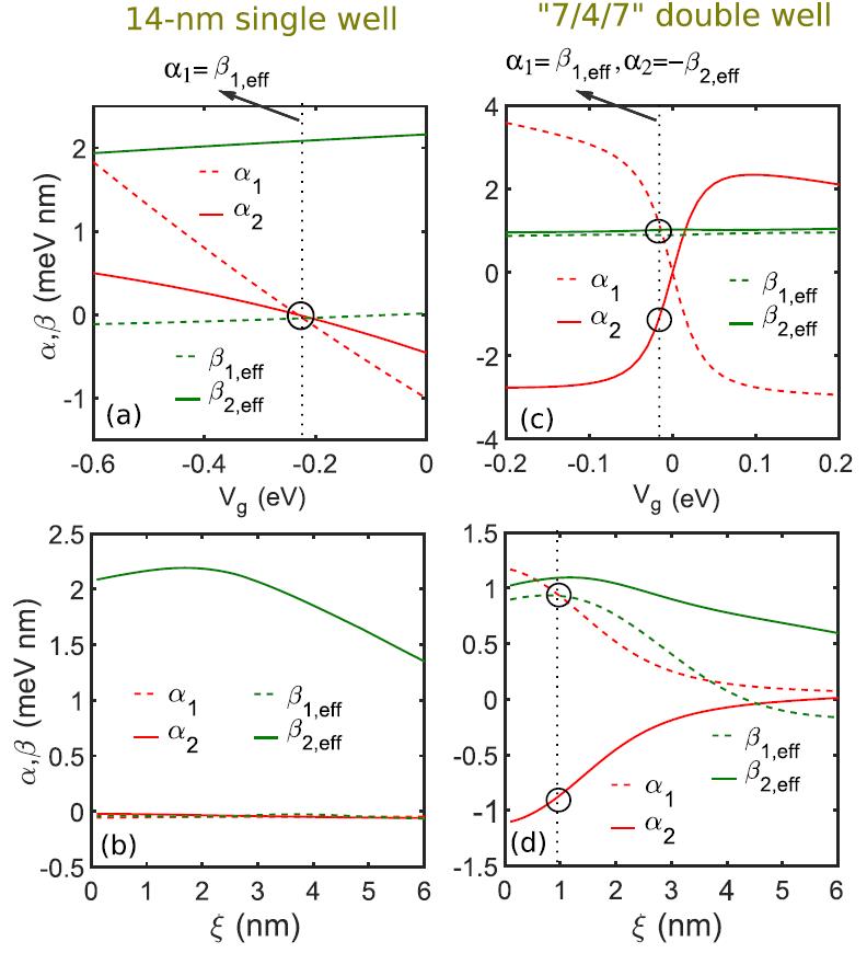
(2)界面效应导致的Dresselhaus自旋轨道耦合(PRB/2021)。

图:自旋轨道耦合偏压和界面平滑度调控(左列:单量子阱;右列:双量子阱)。
界面效应是设计和开发纳米电子器件需要考虑的核心因素之一。通过对称性分析,结合k.p理论并自洽求解薛定谔方程和泊松方程,明确了与界面效应相关的新的自旋轨道耦合性质(包括带内项和带间项),讨论了界面平滑度的影响,提供了相关实验方案,为在传统半导体二维电子气中研究拓扑特性(如斯格明子晶格)提供了新的可能。硕士研究生杨浩为该论文第一作者(Doi://doi.org/10.1103/PhysRevB.104.125426)。
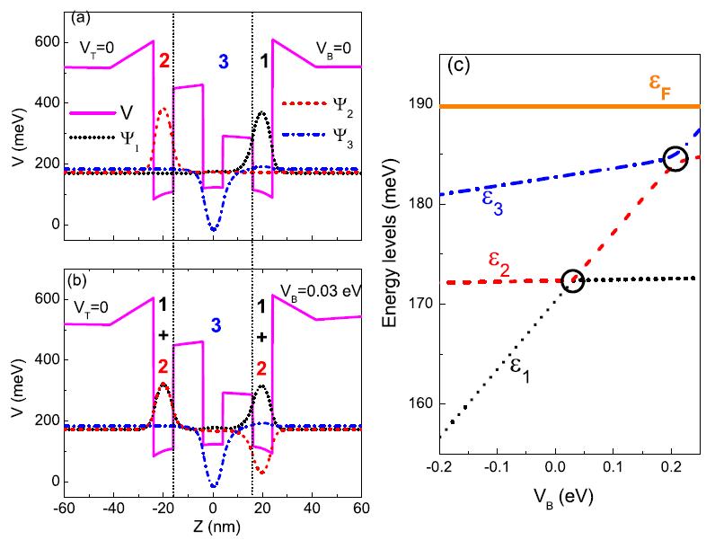
(3)电荷转移以及能级交叉与反交叉相关的自旋调控(PRB/2021)。

图:电荷转移以及能级交叉与反交叉示意图
针对量子三阱,计入外加偏压,明确了电荷转移以及能级交叉与反交叉对自旋调控的影响,确定了量子阱不同子带自旋轨道耦合特性的关联行为,提出了设计自旋场效应管以及自旋过滤器件等新型电子器件的新思路、新方法。刘文(访问教授,济宁学院)和硕士研究生杨浩为该论文共同第一作者(Doi://doi.org/10.1103/PhysRevB.104.165428)。
近年来,付吉永教授课题组及其合作团队在低维量子材料新奇物性以及应用等方面开展了一系列研究,相关研究成果发表在Phys. Rev. Lett.、Phys. Rev. X、Phys. Rev. B.、Appl. Phys. Lett.等国际著名学术期刊, 受到同行的广泛关注。近期研究工作得到了国家自然科学基金面上项目、山东省自然科学基金重大基础研究项目以及曲阜师范大学人才引进专项基金等的资助。
(图、文:许士通 审核:刘广强)